Beranda
/ Integral Polinomial / Http Scipp Ucsc Edu Haber Archives Physics116c11 Mathphysc2sol 11 Pdf / For polynomial f(x)=5x^4−2x+1, this list becomes a=5,0,0,−2,1) a real number x_1;
Integral Polinomial / Http Scipp Ucsc Edu Haber Archives Physics116c11 Mathphysc2sol 11 Pdf / For polynomial f(x)=5x^4−2x+1, this list becomes a=5,0,0,−2,1) a real number x_1;
Integral Polinomial / Http Scipp Ucsc Edu Haber Archives Physics116c11 Mathphysc2sol 11 Pdf / For polynomial f(x)=5x^4−2x+1, this list becomes a=5,0,0,−2,1) a real number x_1;. 2 has factors of 1 and 2. In your approach (going from lowest to highest degree) polynomial and buff may never overlap. Detailed step by step solutions to your integrals of polynomial functions problems online with our math solver and calculator. Integrate the polynomial analytically using the polyint function. Over a field, every nonzero polynomial is associated to a unique monic polynomial.
Aim of this paper is to nd a polynomial with integral coe cients f(x0;:::;xn) which is \equivalent to f and as \simple as possible. The #1 tool for creating demonstrations and anything technical. How do you evaluate the integral #intx^3+4x^2+5 dx#? Antidifferentiation antidifferentiation is the reverse process from differentiation. Two polynomials are associated if either one is the product of the other by a unit.
Wolframalpha Po Russki Neopredelennyj Integral V Wolfram Alpha from 3.bp.blogspot.com Integrals of polynomial functions calculator online with solution and steps. This result matches the analytic solution above, but has a constant of. We are given the formula for the definite integral of a polynomial such as my attempt at this function is below, however the output returns 0.2 To apply rational zero theorem, first organize a polynomial in descending order of its exponents. 2 has factors of 1 and 2. #int x^3 + 4x^2 + 5dx = intx^3dx + int4x^2dx + int5dx#. 1 a x 2 + b x + c. This video shows how to calculate definite integrals.
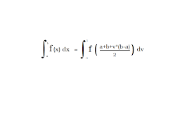
Otro ejemplo lo tenemos en el cálculo del trabajo realizado por un gas durante un proceso isotérmico.en este caso la presión es inversamente proporcional al volumen del gas v, llevándonos a la integral de.
#int x^3 + 4x^2 + 5dx = intx^3dx + int4x^2dx + int5dx#. Integrate the polynomial analytically using the polyint function. The integralof any polynomial is the sum of the integrals of its terms. The first three derive from a conversation with david cantor. The #1 tool for creating demonstrations and anything technical. These are essential in the more general situation. Factoring polynomial fractions before integration, when the degree of the polynomial in the numerator is larger than the degree of the polynomial in the deno. Antidifferentiation antidifferentiation is the reverse process from differentiation. Two polynomials are associated if either one is the product of the other by a unit. Explore thousands of free applications across science, mathematics, engineering, technology, business, art, finance, social sciences, and more. Given string str which represents a polynomial and a number n, the task is to integrate this polynomial with respect to x at the given value n. Using two points, n = 1, gave us exact integration for polynomials of degree less 2*1+1 = 3 and less. Q = polyint (p,k) returns the integral of the polynomial represented by the coefficients in p using a constant of integration k.
If ℤ is meant you can say polynomial over the integers (not integral) and if ℚ is meant you can say polynomial over the rationals or polynomial with rational coefficients. This result matches the analytic solution above, but has a constant of. Void integrate (double * restrict polynomial, double * restrict buff, int number_of_terms) i see no other way to deal with the integration constant but passing it as a separate parameter. I have been trying to integrate a function with a polynomial as the denominator. Over a field, every nonzero polynomial is associated to a unique monic polynomial.
Contoh Soal Dan Penyelesaian Integral Fungsi Rasional Kumpulan Contoh Surat Dan Soal Terlengkap from i2.wp.com Let's say you have x ^ n, and you want to integrate that. Active 3 years, 8 months ago. I.e, how would i go about integrating. A sequence is interpreted as polynomial coefficients, see poly1d. These are essential in the more general situation. Using two points, n = 1, gave us exact integration for polynomials of degree less 2*1+1 = 3 and less. Because this equation only consists of terms added together, you can integrate them separately and add the results, giving us: Aim of this paper is to nd a polynomial with integral coe cients f(x0;:::;xn) which is \equivalent to f and as \simple as possible.
Given string str which represents a polynomial and a number n, the task is to integrate this polynomial with respect to x at the given value n.
The set of integer polynomials is denoted. A sequence is interpreted as polynomial coefficients, see poly1d. The first three derive from a conversation with david cantor. A list a of polynomial coefficients (i.e. How do you evaluate the integral #intx^3+4x^2+5 dx#? The #1 tool for creating demonstrations and anything technical. I have been trying to integrate a function with a polynomial as the denominator. Esta integral aparece en procesos donde la tasa de cambio de una variable es proporcional a la variable en sí. In your approach (going from lowest to highest degree) polynomial and buff may never overlap. Let's say you have x ^ n, and you want to integrate that. Using two points, n = 1, gave us exact integration for polynomials of degree less 2*1+1 = 3 and less. Now you can generalize this to almost any order of polynomial. 2 has factors of 1 and 2.
Approximation by integral polynomials on finite sets of algebraic integers. 2 has factors of 1 and 2. This result matches the analytic solution above, but has a constant of. Detailed step by step solutions to your integrals of polynomial functions problems online with our math solver and calculator. Aim of this paper is to nd a polynomial with integral coe cients f(x0;:::;xn) which is \equivalent to f and as \simple as possible.
Http Cb Mty Itesm Mx Ma3002 Alumno Ejemplos Ma30020270001 Pdf from Explore thousands of free applications across science, mathematics, engineering, technology, business, art, finance, social sciences, and more. Specify the constant of integration with the second input argument. A list a of polynomial coefficients (i.e. There are two frequently considered notions of equivalence for polynomials. 1 a x 2 + b x + c. Because this equation only consists of terms added together, you can integrate them separately and add the results, giving us: In your approach (going from lowest to highest degree) polynomial and buff may never overlap. The integralof any polynomial is the sum of the integrals of its terms.
Detailed step by step solutions to your integrals of polynomial functions problems online with our math solver and calculator.
If then = 2 3. How do you evaluate the integral #intx^3+4x^2+5 dx#? Chaudhry (unm) math/cs 375 13 / 31. Integrals of polynomial functions calculator online with solution and steps. Solved exercises of integrals of polynomial functions. Explore anything with the first computational knowledge engine. Specify the constant of integration with the second input argument. Returns a list representing the solution polynomial. Any help at all with this would be much appreciated, thanks a lot :) ps the polynomial has no real roots. Evaluate polynomial at given bounds. Void integrate (double * restrict polynomial, double * restrict buff, int number_of_terms) i see no other way to deal with the integration constant but passing it as a separate parameter. Detailed step by step solutions to your integrals of polynomial functions problems online with our math solver and calculator. This result matches the analytic solution above, but has a constant of.
Berbagi
Posting Komentar
untuk "Integral Polinomial / Http Scipp Ucsc Edu Haber Archives Physics116c11 Mathphysc2sol 11 Pdf / For polynomial f(x)=5x^4−2x+1, this list becomes a=5,0,0,−2,1) a real number x_1;"
Posting Komentar untuk "Integral Polinomial / Http Scipp Ucsc Edu Haber Archives Physics116c11 Mathphysc2sol 11 Pdf / For polynomial f(x)=5x^4−2x+1, this list becomes a=5,0,0,−2,1) a real number x_1;"